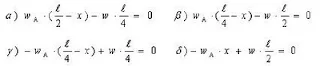
Η σανίδα του σχήματος είναι ομογενής, έχει μήκος ℓ και βάρος w και ισορροπεί σε οριζόντια θέση με τη βοήθεια δύο υποστηριγμάτων, τα οποία απέχουν από κάθε άκρο της ℓ/4. Ένας άνθρωπος με βάρος wA κινείται πάνω στη σανίδα από τη θέση του ενός υποστηρίγματος προς το πλησιέστερο άκρο της. Παρατηρούμε ότι η σανίδα αρχίζει να ανατρέπεται όταν ο άνθρωπος απέχει απόσταση x από το άκρο της. Ποια από τις παρακάτω σχέσεις ισχύει τη στιγμή ακριβώς της ανατροπής;
Στο χώρο αυτό, οι μαθητές της Γ Λυκείου αλλά και οι συνάδελφοι εκπαιδευτικοί θα βρουν μια σειρά από ερωτήσεις, πρωτότυπες ασκήσεις και προβλήματα στο πνεύμα των πανελλαδικών εξετάσεων. Το υλικό δημιουργήθηκε μέσα από χρόνια δουλειάς με μαθητές και συναδέλφους. μπορεί όμως ακόμη να έχει κάποιες ατέλειες. Kάθε καλοπροαίρετη παρατήρηση ή διόρθωση δεν είναι τυπικό σχόλιο· είναι μια μικρή, ουσιαστική συμβολή σε μια δουλειά που εξακολουθεί να εξελίσσεται μαζί σας.
Η φύση αγαπά την αλήθεια, και η αλήθεια της φύσης διεκδικεί το δικαίωμα να εκτίθεται μόνο σε όσους την ποθούν. (Φ. Ντοστογιέφσκι)
🏠 Αρχική
Home
💥 Κρούσεις
Collisions
📈 Ταλαντώσεις
Oscillations
🌊 Κύματα
Waves
⚙️ Μηχανική Στερεού
Rigid Body
🧲 Ηλεκτρομαγνητισμός
Electromagnetism
🌀 Κβαντομηχανική
Quantum Physics
🔧 Ρευστά σε κίνηση
Fluids
🌐 Exams Preparation Portal
Entrance Portal
📚 Τράπεζα Θεμάτων
Topic Bank
🧭 Πλοήγηση
Advanced Navigation
📚 Βιβλιοθήκες
Libraries
- ΤΡΑΠ.ΘΕΜ.Β ΛΥΚ
- Διεθνής Πύλη Προετοιμασίας για Ανώτατες Σπουδές
- Αρχική σελίδα
- Βιντεοδιαλέξεις, Μαθήματα & Διαγωνισμοί
- Richard Feynman
- Quantum Mechanics
- Tree-Hour Test 2
- Three-hour test 1
- Three-Hours Test 3
- Greek National Physics Exams — Problems & Solutions — 2002–2025
- Greek National Physics Exams — Problems & Solutions — 2002–2025
- Three-hour Tests
- High School 1st Year Exam Questions Bank
- Physics B' Lyceum: Strategic Question Bank for Greek University Entrance Exams
- Physics C' Lyceum: Strategic Question Bank for Greek University Entrance Exams
- Physics National Exams Simulations
- Federation of Greek Teachers
- Keystone We are in
- General Education Physics exams— Problems & Solutions (2000 - 2016)
- OEFE and Keystone simulation exams
- My Digital Lbrary
- Physics Exam Preparation Portal
- Second Library


Δεν υπάρχουν σχόλια:
Δημοσίευση σχολίου
Άφησε το σχόλιό σου.